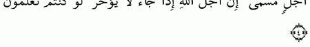
مقارنة الآيات بالروايات

حفص عن عاصم

الآية رقم {4} من سورة ( نوح)

  •   
  •   
  •   
  •  

قالون عن نافع

الآية رقم {4} من سورة ( نوح)

  •   
  •   
  •   
  •  

ورش عن نافع

الآية رقم {4} من سورة ( نوح)

  •   
  •   
  •   
  •  

ورش عن نافع من طريق الأصبهاني

الآية رقم {4} من سورة ( نوح)

البزي عن ابن كثير

الآية رقم {4} من سورة ( نوح)

قنبل عن ابن كثير

الآية رقم {4} من سورة ( نوح)

دوري أبي عمرو

الآية رقم {4} من سورة ( نوح)

  •   
  •   
  •   
  •  

السوسي عن أبي عمرو

الآية رقم {4} من سورة ( نوح)

هشام عن ابن عامر

الآية رقم {4} من سورة ( نوح)

ابن ذكوان عن ابن عامر

الآية رقم {4} من سورة ( نوح)

شعبة عن عاصم

الآية رقم {4} من سورة ( نوح)

  •   
  •   
  •   
  •  

خلف عن حمزة

الآية رقم {4} من سورة ( نوح)

خلاد عن حمزة

الآية رقم {4} من سورة ( نوح)

أبو الحارث عن الكسائي

الآية رقم {4} من سورة ( نوح)

الدوري عن الكسائي

الآية رقم {4} من سورة ( نوح)

  •   
  •   
  •   
  •  

ابن وردان عن أبي جعفر

الآية رقم {4} من سورة ( نوح)

ابن جماز عن أبي جعفر

الآية رقم {4} من سورة ( نوح)

رويس عن يعقوب الحضرمي

الآية رقم {4} من سورة ( نوح)

  •   
  •   
  •   
  •  

روح عن يعقوب الحضرمي

الآية رقم {4} من سورة ( نوح)

إسحاق الوراق عن خلف البزار

الآية رقم {4} من سورة ( نوح)

إدريس الحداد عن خلف البزار

الآية رقم {4} من سورة ( نوح)